If f(x) = sin(cos⁻¹((1 - 2²ˣ) / (1 + 2²ˣ))) and its first derivative with respect to x is -(a/b)logₑ2 when x = 1, where a and b are integers, then the minimum value of |a² - b²| is........
If f(x) = sin(cos⁻¹((1 - 2²ˣ) / (1 + 2²ˣ))) and its first derivative with respect to x is -(a/b)logₑ2 when x = 1, where a and b are integers, then the minimum value of |a² - b²| is........
17 Views|Posted 8 months ago
Asked by Shiksha User
1 Answer
V
Answered by
8 months ago
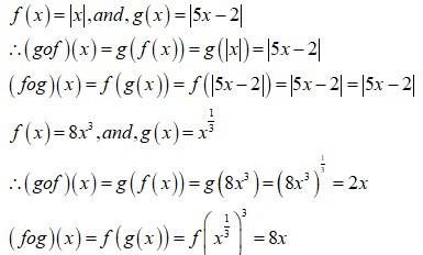
Kindly consider the following figure
Similar Questions for you
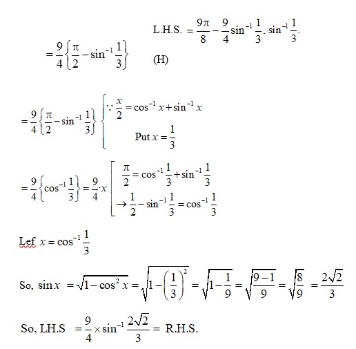
Kindly go through the solution

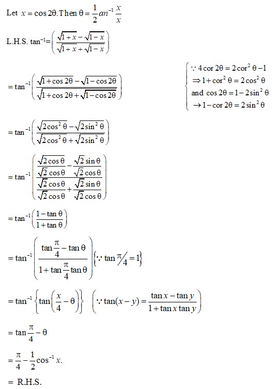
Kindly go through the solution
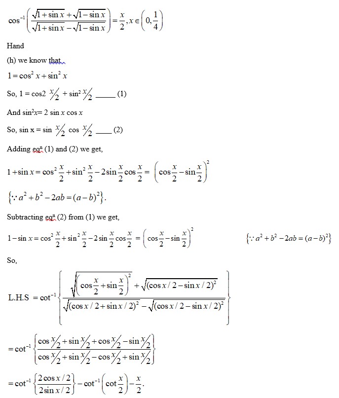
Kindly go through the solution
Kindly go through the solution
Kindly go through the solution
Taking an Exam? Selecting a College?
Get authentic answers from experts, students and alumni that you won't find anywhere else.
On Shiksha, get access to
66K
Colleges
|
1.2K
Exams
|
6.9L
Reviews
|
1.9M
Answers
Learn more about...

Maths Ncert Solutions class 12th 2026
View Exam DetailsMost viewed information
SummaryDidn't find the answer you were looking for?
Search from Shiksha's 1 lakh+ Topics
or
Ask Current Students, Alumni & our Experts
Have a question related to your career & education?
or
See what others like you are asking & answering







