Let a die rolled till 2 is obtained. The probability that 2 obtained on even numbered toss is equal to
Let a die rolled till 2 is obtained. The probability that 2 obtained on even numbered toss is equal to
P (2 obtained on even numbered toss) = k (let)
P (2) =
P (
Similar Questions for you
If x = 0, y = 6, 7, 8, 9, 10
If x = 1, y = 7, 8, 9, 10
If x = 2, y = 8, 9, 10
If x = 3, y = 9, 10
If x = 4, y = 10
If x = 5, y = no possible value
Total possible ways = (5 + 4 + 3 + 2 + 1) * 2
= 30
Required probability
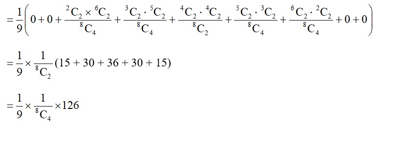
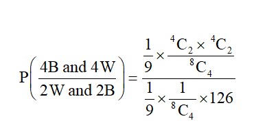
P (2W and 2B) = P (2B, 6W) × P (2W and 2B)
+ P (3B, 5W) × P (2W and 2B)
+ P (4B, 4W) × P (2W and 2B)
+ P (5B, 3W) × P (2W and 2B)
+ P (6B, 2W) × P (2W and 2B)
(15 + 30 + 36 + 30 + 15)
Let probability of tail is
⇒ Probability of getting head =
∴ Probability of getting 2 heads and 1 tail
ax2 + bx + c = 0
D = b2 – 4ac
D = 0
b2 – 4ac = 0
b2 = 4ac
(i) AC = 1, b = 2 (1, 2, 1) is one way
(ii) AC = 4, b = 4
(iii) AC = 9, b = 6, a = 3, c = 3 is one way
1 + 3 + 1 = 5 way
Required probability =
Let
A : Missile hit the target
B : Missile intercepted
P (B) =
Required Probability =
Taking an Exam? Selecting a College?
Get authentic answers from experts, students and alumni that you won't find anywhere else.
On Shiksha, get access to
Learn more about...

Maths Ncert Solutions class 12th 2026
View Exam DetailsMost viewed information
SummaryDidn't find the answer you were looking for?
Search from Shiksha's 1 lakh+ Topics
Ask Current Students, Alumni & our Experts
Have a question related to your career & education?
See what others like you are asking & answering

