In the above diagram, balance length for E' is ℓ0. If cross sectional area of wire AB is doubled then what will be new balancing length ?
In the above diagram, balance length for E' is ℓ0. If cross sectional area of wire AB is doubled then what will be new balancing length ?
Option 1 - <p>1.5 ℓ<sub>0</sub></p>
Option 2 - <p>2ℓ<sub>0</sub></p>
Option 3 - <p>2.5ℓ<sub>0</sub></p>
Option 4 - <p>0.5ℓ<sub>0</sub></p>
10 Views|Posted 6 months ago
Asked by Shiksha User
1 Answer
A
Answered by
6 months ago
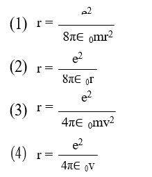
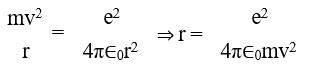
Correct Option - 1
Detailed Solution:
Similar Questions for you
A n-p-n transistor can be used as amplifier.
Corresponding binary numbers of given waveforms.
Taking an Exam? Selecting a College?
Get authentic answers from experts, students and alumni that you won't find anywhere else.
On Shiksha, get access to
66K
Colleges
|
1.2K
Exams
|
6.9L
Reviews
|
1.9M
Answers
Learn more about...

Physics Ncert Solutions Class 12th 2026
View Exam DetailsMost viewed information
SummaryDidn't find the answer you were looking for?
Search from Shiksha's 1 lakh+ Topics
or
Ask Current Students, Alumni & our Experts
Have a question related to your career & education?
or
See what others like you are asking & answering










