Magnetic fields at two points on the axis of a circular coil at a distance of 0.05m 0.2m from the centre are in the ratio 8 : 1. The radius of coil is-------------.
Magnetic fields at two points on the axis of a circular coil at a distance of 0.05m 0.2m from the centre are in the ratio 8 : 1. The radius of coil is-------------.
Option 1 -
0.15m
Option 2 -
1.0m
Option 3 -
0.1m
Option 4 -
0.2m
- 
1 Answer
- 
Correct Option - 3
 
 
 Detailed Solution:Magnetic field on the axis of a circular coil at distance x from centre, B = 
Similar Questions for you
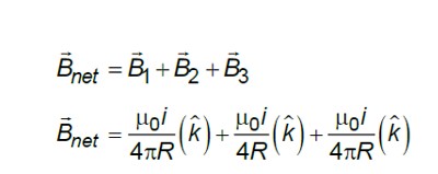
If currents are flowing in same direction, magnetic field will cancel each other, so the currents must flowing in opposite direction
I = 30 A

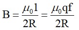
When the ring rotates about its axis with a uniform frequency fHz, the current flowing in the ring is
I=q/T=qf
Magnetic field at the centre of the ring is
for current\

1 unit Area ®

Now, consider Amperian loop of radius small ‘r’ ln Amperian loop magnetic field will be tangential to the amperian loop.
(Ampere circuital law)
               
 
Taking an Exam? Selecting a College?
Get authentic answers from experts, students and alumni that you won't find anywhere else
Sign Up on ShikshaOn Shiksha, get access to
- 65k Colleges
- 1.2k Exams
- 682k Reviews
- 1800k Answers
 




