Let a cure y = y(x) pass through the point (3, 3) and the area of the origin under this curve, above the x-axis and between the abscissae 3 and x (>3) be . If the curve also passes through the point in the first quadrant, then a is equal to………….
Let a cure y = y(x) pass through the point (3, 3) and the area of the origin under this curve, above the x-axis and between the abscissae 3 and x (>3) be . If the curve also passes through the point in the first quadrant, then a is equal to………….
differentiating w.r.to x
After solving we get also curve passes through (3, 3) Þ c = -2
which passes through
Similar Questions for you
Since a is a odd natural number then
Þ a = 5
lim (x→∞) (∫? ^ (√x²+1) tan? ¹t dt) / x = lim (x→∞) (tan? ¹ (√x²+1) * (x/√ (x²+1) = lim (x→∞) (tan? ¹ x) * (x/√ (x²+1) = π/2
Given curve is
for
And
We know that at i.e,
So the point of intersection is at


The given equation of the lines are

Area of

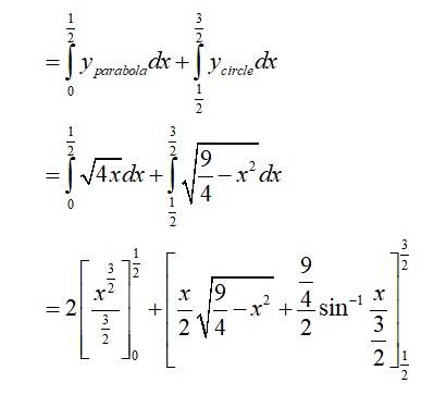
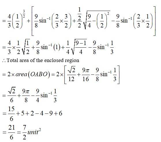
The point of intersection of the circle and the parabola is .
Taking in first quadrant
Area of


The given vertices of the triangle are A(2,0),B(4,5)and C(6,3)
So, equation of line AB is
Similarly equation of BC is
And equation of AC is
=

Area of
=
Taking an Exam? Selecting a College?
Get authentic answers from experts, students and alumni that you won't find anywhere else.
On Shiksha, get access to
Learn more about...

Maths NCERT Exemplar Solutions Class 11th Chapter Twelve 2025
View Exam DetailsMost viewed information
SummaryDidn't find the answer you were looking for?
Search from Shiksha's 1 lakh+ Topics
Ask Current Students, Alumni & our Experts
Have a question related to your career & education?
See what others like you are asking & answering