Ask & Answer: India's Largest Education Community
All Questions
New Question
a week agoContributor-Level 8
Yes, prefixes and suffixes significantly change the meaning or grammatical role of a word. For example, the prefix "dis-" in "disagree" reverses the meaning, while the suffix "-ly" in "quickly" turns an adjective into an adverb.
New Question
a week agoContributor-Level 8
Practice by creating word families from root words. For example, from the root word "active", you can form "inactive", "activity", and "activation". Additionally, try reading academic texts and identifying prefixes and suffixes in new words.
New Question
a week agoContributor-Level 10
Yes, learning prefixes and suffixes enables you to expand your vocabulary and understand word families. This will improve your ability to choose the correct word forms in both the Writing and Speaking sections.
New Question
a week agoNew Question
a week agoNew Question
a week agoContributor-Level 10
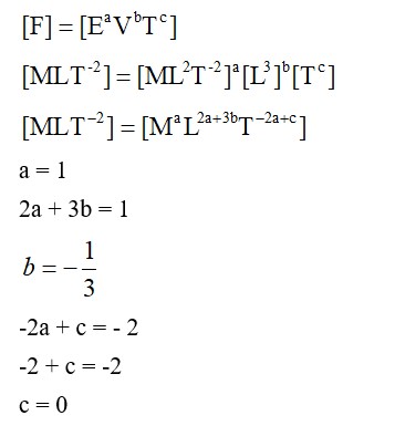
By conservation of linear momentum
4 * 3 = 4v1 + 6v2
6 = 2v1 + 3v2 ………… (i)
New Question
a week agoContributor-Level 10
W and Z bosons is responsible for the exchange particles of weak interaction.
New Question
a week agoContributor-Level 6
The Commission released the UGC NET 2025 December session examination dates on the official website ugcnet.nta.nic.in. The exam will be conducted from December 31 to January 7, 2025. The detailed schedule will be released later.
New Question
a week agoContributor-Level 8
Begin with an introduction outlining the topic and stating that both views will be discussed. Provide balanced body paragraphs for each viewpoint and then give your own opinion in the conclusion.
New Question
a week agoContributor-Level 8
Start with an introduction stating your opinion, followed by body paragraphs each presenting a supporting argument with examples. Conclude with a summary that reinforces your viewpoint.
New Question
a week agoContributor-Level 8
An opinion essay asks you to express and justify your own viewpoint on a topic, while a discussion essay requires you to explore and discuss both sides of an argument before presenting your own opinion.
New Question
a week agoContributor-Level 9
Lost Stories Academy has certificate courses available for the college students. Some of the available Lost Stories Academy programmes are given below:
Music Production course
- Music PRODIGY course (12 months)
- Advanced Mixing & Mastering (2 months)
- Advanced Music Theory, Song Writing & Sound Design (2 months)
- All About Ableton Live (Basics and Advanced) (2 months)
- Music EXPERT course (6 months)
DJing Courses
- The Next Big DJ
There are recorded programmes also available in the college.
New Question
a week agoRegister to get relevant
Questions & Discussions on your feed
Ask & Answer
Panel of Experts









