Ask & Answer: India's Largest Education Community
All Questions
New Question
3 weeks agoNew Question
3 weeks agoNew Question
3 weeks agoNew Question
3 weeks agoContributor-Level 8
The GNIHM JET General Knowledge syllabus covers questions on books and authors, inventions, awards, currencies, sports, world organisations, and natural events.
New Question
3 weeks agoNew Question
3 weeks agoNew Question
3 weeks agoNew Question
3 weeks agoNew Question
3 weeks agoNew Question
3 weeks agoNew Question
3 weeks agoContributor-Level 10
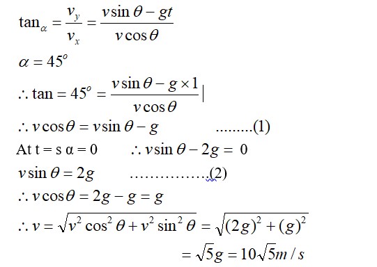
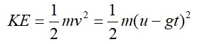
Graph with time must be parabola. At the highest point KE is zero
New Question
3 weeks agoRegister to get relevant
Questions & Discussions on your feed
Ask & Answer
Panel of Experts











