Ask & Answer: India's Largest Education Community
All Questions
New Question
3 weeks agoContributor-Level 10
Li+ has the highest hydration enthalpy.
Hence it is most hydrated
Therefore Correct order of hydrated radii is Cs+ < Rb+ < K+ < Na+ < Li+
New Question
3 weeks agoContributor-Level 10
Tertiary alcohol gives turbidity immediately on reaction with conc. HCI in presence of anyhyd. ZnCI2
New Question
3 weeks agoContributor-Level 10
Cetyltrimethyl ammonium bromide is an example of Cationic detergent
New Question
3 weeks agoNew Question
3 weeks agoContributor-Level 10
The highest package offered at MBA ESG Bangalore placements are given below:
Particulars | Placement Statistics (batch 2022-2024) |
|---|---|
the highest Package | INR 19 LPA |
New Question
3 weeks agoContributor-Level 10
The MBA placement stats have been out for the batch 2022-2024. Check out the table for MBA ESG Bangalore placements given below:
Particulars | Placement Statistics (batch 2022-2024) |
|---|---|
the highest Package | INR 19 LPA |
Average Package | INR 7 LPA |
Median Package | INR 7 LPA |
Placement Rate | 100% |
Total Recruiters | 30 |
New Question
3 weeks agoContributor-Level 7
You can prepare for SBI PO exam through self-study. However, to understand the techniques of solving questions it is always advised to take coaching.
New Question
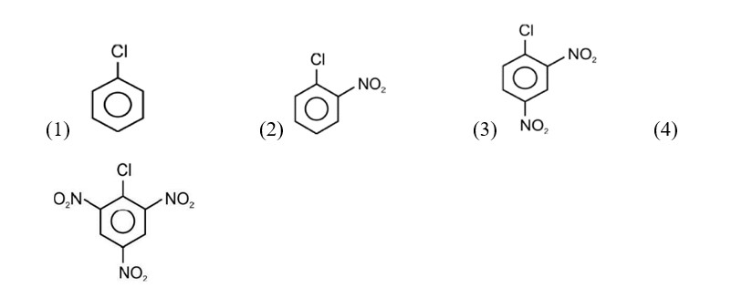
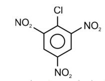
3 weeks agoContributor-Level 10
Electron releasing group present at para position increases basic strength.
Therefore, Correct order of basic strength is
New Question
3 weeks agoContributor-Level 10
There are three isomers for the complex species [Co (en)2Br2]+
New Question
3 weeks agoContributor-Level 10
In order to apply online at Queen’s University Belfast GIFT City candidates must apply at the official website. Students can check the application procedure below:
1: Go to the official website of Queen’s University Belfast, Gujarat.
2: Tap on the Apply Now section for the application form on the page for the Indian campus of the university.
3: Once completed, candidates are required to pay the application fee.
4: Download and keep the form for future reference.
Register to get relevant
Questions & Discussions on your feed
Ask & Answer
Panel of Experts









