What is a heat engine and how does it work in thermodynamics?
8 Views|Posted 11 months ago
Asked by Shiksha User
1 Answer
P
Answered by
11 months ago
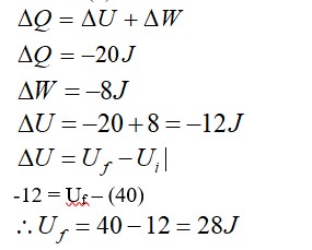
A heat engine is a device to transform the heat energy into mechanical work. It works during a thermodynamic cycle, absorbing heat from a high-temp, and releasing the remaining heat to a low-temperature sink. The total heat absorbed is partially converted into work. The efficiency of the heat engine
Similar Questions for you
From A to B the process is isobaric

= W = 2 × R (600 - 350)
= 500 R
Heat is path dependent so path function but internal energy does not depend on path chosen.
Taking an Exam? Selecting a College?
Get authentic answers from experts, students and alumni that you won't find anywhere else.
On Shiksha, get access to
66K
Colleges
|
1.2K
Exams
|
6.9L
Reviews
|
1.8M
Answers
Learn more about...
Didn't find the answer you were looking for?
Search from Shiksha's 1 lakh+ Topics
or
Ask Current Students, Alumni & our Experts
Have a question related to your career & education?
or
See what others like you are asking & answering





