Three points masses and 3m are located at the vertices of an equilateral triangle of side ' a '. The moment of inertia of the system about an axis along the altitude of the triangle passing through m is where N is an integer. The value of N is
Three points masses and 3m are located at the vertices of an equilateral triangle of side ' a '. The moment of inertia of the system about an axis along the altitude of the triangle passing through m is where N is an integer. The value of N is
4 Views|Posted 8 months ago
Asked by Shiksha User
1 Answer
Similar Questions for you
= 3.15 kg m2
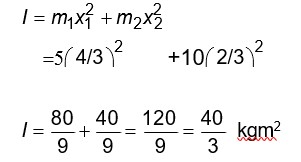
Distance of CM from 5 kg = 10*2/15 = 4/3m
Taking an Exam? Selecting a College?
Get authentic answers from experts, students and alumni that you won't find anywhere else.
On Shiksha, get access to
66K
Colleges
|
1.2K
Exams
|
6.9L
Reviews
|
1.9M
Answers
Learn more about...

Physics System of Particles and Rotational Motion 2025
View Exam DetailsMost viewed information
SummaryDidn't find the answer you were looking for?
Search from Shiksha's 1 lakh+ Topics
or
Ask Current Students, Alumni & our Experts
Have a question related to your career & education?
or
See what others like you are asking & answering






